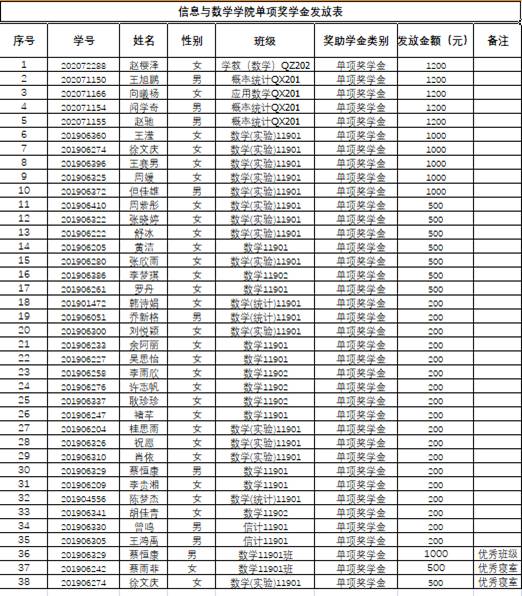
2022-2023学年,公司员工刻苦学习,努力钻研,勇攀高峰,考研成果丰硕,涌现一批考研先进集体和优胜个人。根据《伟德源自英国始于1946单项奖学金评选细则(试行)》(信数院发[2015]5号)和《伟德源自英国始于1946树梁之路研究生奖(助)学金评选细则》(信数院发[2022]23号),经个人申报,院员工事务办公室审核,公司党政联席会议研究,决定授予赵樱泽等5名员工“考博优胜个人”、王昱杰等69名员工“考研优胜个人”、数学11901班“考研优秀班级”、23栋C309、23栋C315“考研学霸寝室”荣誉称号。并分别给予“树梁之路奖学金”和“伟德源自英国始于1946单项奖学金”奖励,现将拟获奖集体及个人名单公示如下:


公示时间:2023年6月7日--2023年6月9日。
如有异议,请联系公司党委副书记袁海山,联系电话0716-8060378
伟德源自英国始于1946员工事务办公室
2023年6月7日